I am currently a postdoctoral researcher based at the University of Wisconsin, Madison. Broadly, I am looking into the infection dynamics of a zooplankton by a very cute helminth, Schistocephalus solidus, in function of diverse spatial/temporal scales. In collaboration with Dr. Jessica Hite et al., we are exploring how copepod disease ecology fits into a larger story of helminth transmission across a food chain (from copepods to stickleback to loons).
My doctoral work (mentored by Dr. Bibiana Rojas, KLIVV Austria) focused on the evolutionary ecology of poison frogs (Dendrobates tinctorius). In a system characterised by intensive parental care and larval cannibalism my thesis considered (1) the behavioural plasticity of tadpoles and (2) the adaptive value of individual decision-making in response “risky” contexts (i.e. habitat instability, predation, infection).
HIGHLIGHTED PUBLICATIONS

KEYWORDS: parasite detection, ddPCR, helminths

KEYWORDS: phytotelmata, sensory plasticity, predator-prey

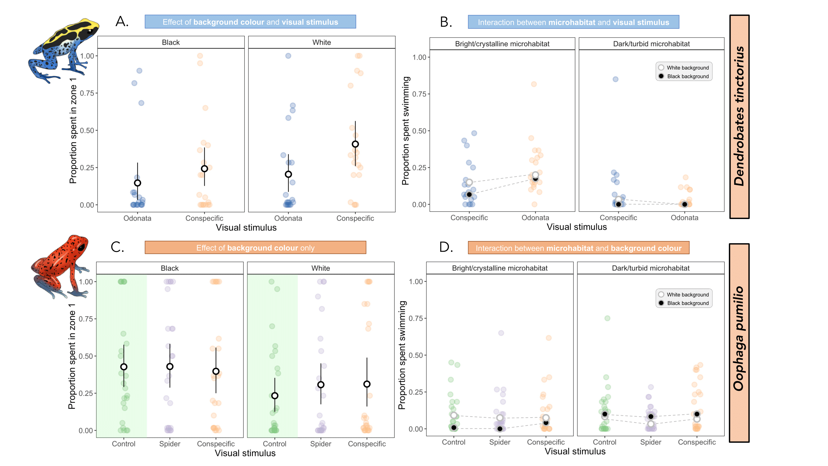
KEYWORDS: vision, adaptation, turbidity

KEYWORDS: parental care, tadpoles, ecology

KEYWORDS: resource defense, parental care, reproduction

KEYWORDS: aggression, kin recognition, tadpoles, trade-offs

KEYWORDS: cannibalism, taxa comparisons, definitions

KEYWORDS: methods, tadpoles, elastomere, larval tag

